78. Linked List Cycle
Topic :
linked lists
Difficulty :
easy
Problem Link :
problem statement
Given head
, the head of a linked list, determine if the linked list has a cycle in it.
There is a cycle in a linked list if there is some node in the list that can be reached again by continuously following the next
pointer. Internally, pos
is used to denote the index of the node that tail's next
pointer is connected to. Note that pos
is not passed as a parameter.
Return true
if there is a cycle in the linked list. Otherwise, return false
.

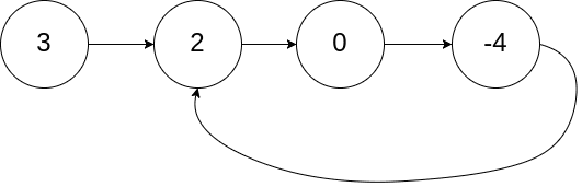
Example 1:
Input: head = [3,2,0,-4], pos = 1
Output: true
Explanation: There is a cycle in the linked list,
where the tail connects to the 1st node (0-indexed).

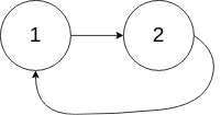
Example 2:
Input: head = [1,2], pos = 0
Output: true
Explanation: There is a cycle in the linked list,
where the tail connects to the 0th node.

Input: head = [1], pos = -1
Output: false
Explanation: There is no cycle in the linked list.
Constraints:
- The number of nodes in the list is in the range
[0, 104]
. -105 <= Node.val <= 105
pos
is-1
or a valid index in the linked list.
solution
import java.io.*;
import java.util.*;
class Cycle_In_A_LinkedList
{
static class Node{
int data;
Node next;
Node(int data){
this.data=data;
this.next=null;
}
}
static boolean detectCycle(Node head) {
if(head==null || head.next==null)
return false;
Node slow=head;
Node fast=head;
while(fast!=null && fast.next!=null)
{
slow=slow.next;
fast=fast.next.next;
if(slow==fast)
return true;
}
return false;
}
static void display(Node head){
while(head!=null)
{ System.out.print(head.data+" --> ");
head=head.next;
}
System.out.print("null");
System.out.println();
}
public static void main(String args[]){
Node head=new Node(1);
head.next=new Node(2);
head.next.next=new Node(3);
head.next.next.next=new Node(4);
head.next.next.next.next=head.next.next;
System.out.println("Cycle Present " + detectCycle(head));
}
}